Thứ tư 15/04/2026 01:03Thứ tư 15/04/2026 01:03 Hotline: 0326.050.977Hotline: 0326.050.977 Email: toasoan@tapchihuucovietnam.vnEmail: [email protected]

Tag

Vai trò của nông nghiệp hữu cơ trong việc tăng cường sức khoẻ đất, giảm phát thải khí nhà kính và giảm nhẹ biến đổi khí hậu

Tăng
aa
Giảm
Chia sẻ Facebook
Bình luận
In bài viết
Nông nghiệp hữu cơ (NNHC) có vai trò thiết yếu trong việc tăng cường sức khỏe đất (cải thiện cấu trúc, giữ nước, tăng chất hữu cơ), giảm phát thải khí nhà kính (giảm N2ON sub 2 ON2O từ phân đạm, tăng hấp thụ carbon) và giảm nhẹ biến đổi khí hậu (tăng khả năng chống chịu, tạo hệ sinh thái bền vững), hướng tới một nền nông nghiệp xanh, sạch, an toàn và bền vững.
Vai trò của nông nghiệp hữu cơ trong việc tăng cường sức khoẻ đất, giảm phát thải khí nhà kính và giảm nhẹ biến đổi khí hậu
Nông nghiệp hữu cơ (NNHC) có vai trò thiết yếu trong việc tăng cường sức khỏe đất, giảm phát thải khí nhà kính và giảm nhẹ biến đổi khí hậu, hướng tới một nền nông nghiệp xanh, sạch, an toàn và bền vững.

Nông nghiệp hữu cơ là xu hướng tất yếu

Thực tế cho thấy sản xuất nông nghiệp nước ta đã trải qua thời gian dài phát triển với những giai đoạn và hình thái phát triển khác nhau. Từ nông nghiệp truyền thống, rất hữu cơ của giữa thế kỉ 20, với sức ép dân số tăng nhanh và ảnh hưởng của khoa học công nghệ như phân hoá học vào những năm 80 năng suất cây trồng tăng một cách nhanh chóng, với tiến bộ về giống vào những năm 90 trở về sau thì năng suất bùng nổ, đặc biệt là sự xuất hiện của nông nghiệp công nghệ cao và xuất khẩu nông sản được khai thông thì chúng ta đã đạt được mức trần về năng suất và sản lượng nhưng đồng thời cũng chạm đỉnh về ô nhiễm môi trường và nông sản. Cũng từ đó sản xuất nông nghiệp lại gặp một yêu cầu cao nữa về an toàn nông sản và sức khoẻ người dân.

Vai trò của nông nghiệp hữu cơ trong việc tăng cường sức khoẻ đất, giảm phát thải khí nhà kính và giảm nhẹ biến đổi khí hậu
Xu hướng phát triển của các loại hình sản xuất nông nghiệp Việt Nam.

Chính từ đó, chiến lược tăng trưởng xanh được xây dựng, kéo theo hàng loạt các xu hướng về nông nghiệp phát thải thấp, nông nghiệp xanh, hữu cơ, sinh thái, tái sinh, tuần hoàn… Tất cả các loại hình nông nghiệp này đều góp phần hướng đến một nền nông nghiệp bền vững như một mục tiêu duy nhất trong tương lai.

Tổ chức IFOAM (2022) đã đúc kết rằng nông nghiệp hữu cơ đã thay đổi cách chúng ta sản xuất thực phẩm có thể tạo ra sự khác biệt lớn trong việc giảm thiểu biến đổi khí hậu, giúp nông dân thích ứng và trở nên kiên cường hơn, đồng thời góp phần bảo vệ đa dạng sinh học. Nông nghiệp hữu cơ mang đến một phương pháp tổng thể để giảm phát thải khí nhà kính (GHG) và tăng khả năng lưu trữ carbon trong đất đồng thời duy trì đất khỏe mạnh và bảo vệ đa dạng sinh học.

Vai trò của nông nghiệp hữu cơ trong việc tăng cường sức khoẻ đất, giảm phát thải khí nhà kính và giảm nhẹ biến đổi khí hậu
So sánh năng suất cây trồng của nông nghiệp hữu cơ và thâm canh giai đoạn 2006-2021.
Nguồn: Himanshu Sahu et al. (2024).

Năng suất cây trồng của nông nghiệp hữu cơ

Nông nghiệp hữu cơ phải qua một giai đoạn chuyển đổi từ nông nghiệp thâm canh với rất nhiều các yếu tố đầu vào không được chuẩn hoá với nhiều yếu tố phi hữu cơ, có thể sự chuyển đổi và sự giảm đột ngột về đầu tư phân hoá học có thể là nguyên nhân sụt giảm năng suất cây trồng.

Tuy nhiên, các nghiên cứu của Himanshu Sahu et al. (2024) trong 15 năm đã chỉ ra rằng năng suất cây trồng được canh tác hữu cơ sẽ tăng dần đều với sự đầu tư đều đều nhờ kết quả khôi phục sức khoẻ và độ phì đất trong khi nông nghiệp thâm canh thì chỉ dừng lại ở một trần nào đó với chi phí liên tục tăng.

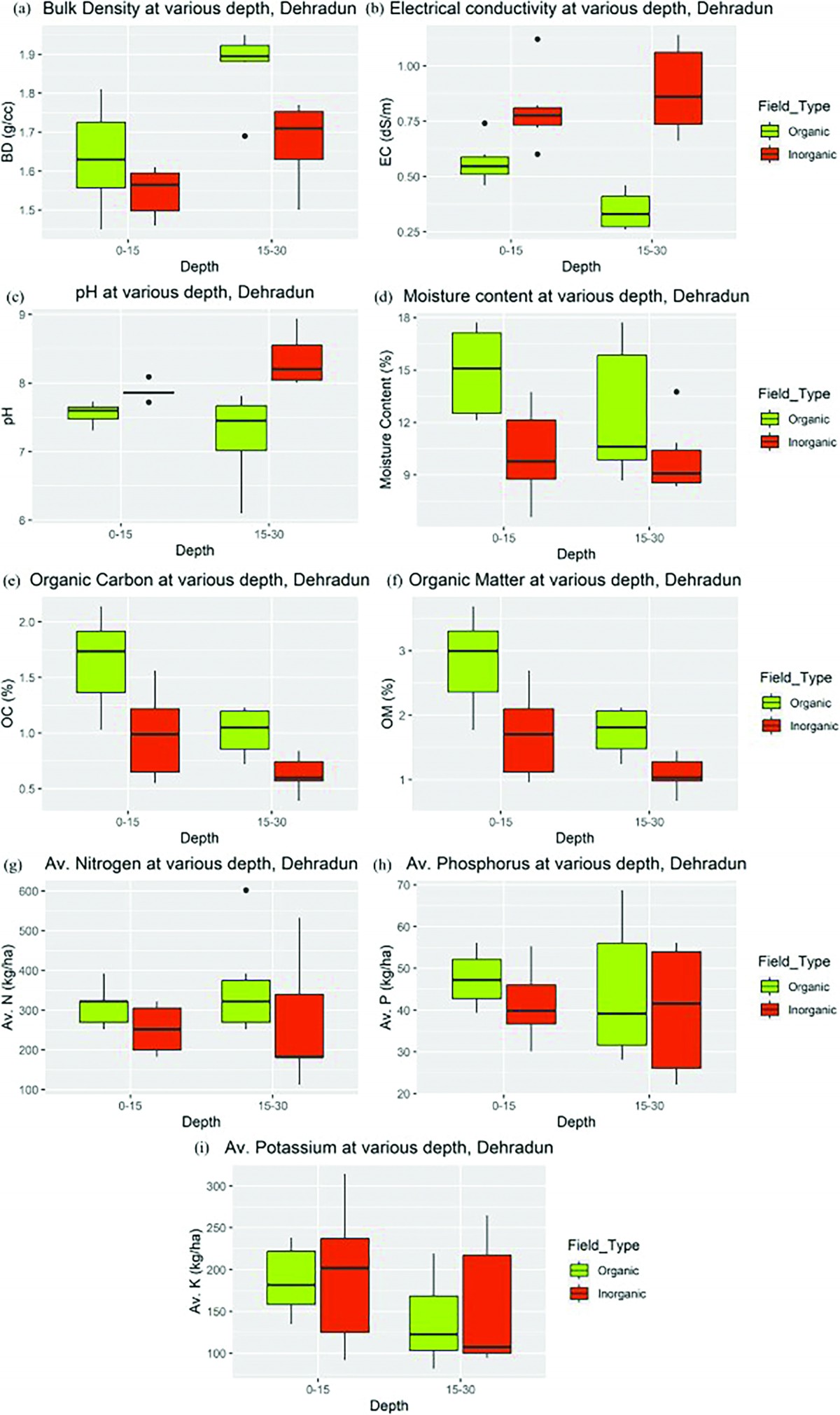
Vai trò của nông nghiệp hữu cơ trong việc tăng cường sức khoẻ đất, giảm phát thải khí nhà kính và giảm nhẹ biến đổi khí hậu
Khả năng tăng cường sức khoẻ đất của nông nghiệp hữu cơ. Nguồn: Himanshu Sahu et al. (2024)

Khả năng tăng cường sức khoẻ đất và đa dạng sinh học của nông nghiệp hữu cơ

Nghiên cứu dài hạn của Himanshu Sahu et al. (2024) cũng chỉ ra rằng khi so sánh đất được canh tác hữu cơ so với đất canh tác thâm canh thì đất được canh tác hữu cơ có: hàm lượng muối trong đất giảm (đất sạch hơn), độ ẩm đất cao hơn (giữ nước nhiều hơn), hàm lượng carbon và chất hữu cơ cao hơn (lưu trữ nhiều carbon hơn), hàm lượng đạm và lân cao hơn nhưng hàm lượng kali thấp hơn (có thể lượng bón kali thấp hơn).

Nghiên cứu của Tuck et al. (2014) khi so sánh 2 loại trang trại hữu cơ và thâm canh cho thấy nhóm chức năng tăng đa dạng mạnh, nhất là các loại về sản xuất (các loài thực vật), tăng đến 75%, tiếp đến là các loài hỗ trợ thụ phấn, tăng đến 50%, tiếp đến là các loài ăn cỏ, loài ăn mồi và loài phân huỷ. Mức độ đa dạng của các loại cây trồng cũng tăng độ đa dạng như cây lương thực có hạt tăng 40%...

Vai trò của nông nghiệp hữu cơ trong việc tăng cường sức khoẻ đất, giảm phát thải khí nhà kính và giảm nhẹ biến đổi khí hậu
So sánh mức độ đa dạng sinh học của trang trại hữu cơ so với trang trại thâm canh. Nguồn: Tuck et al. (2014)

Nghiên cứu của Tuck et al. (2014) khi so sánh 2 loại trang trại hữu cơ và thâm canh cho thấy nhóm chức năng tăng đa dạng mạnh, nhất là các loại về sản xuất (các loài thực vật), tăng đến 75%, tiếp đến là các loài hỗ trợ thụ phấn, tăng đến 50%, tiếp đến là các loài ăn cỏ, loài ăn mồi và loài phân huỷ. Mức độ đa dạng của các loại cây trồng cũng tăng độ đa dạng như cây lương thực có hạt tăng 40%...

Tiềm năng giảm phát thải khí nhà kính và lưu trữ carbon của nông nghiệp hữu cơ

Các kết quả tính toán của Mai Văn Trịnh (2025a) cho thấy sản xuất nông nghiệp thâm canh đang sử dụng phân đạm hoá học gây phát thải N2O thông qua quá trình phát thải trực tiếp và giản tiếp. Với phát thải trực tiếp thì hệ số phát thải theo IPCC (2019) là 1,025% lượng đạm bón và với phát thải gián tiếp là 0,75% lượng đạm mất đi do quá trình bay hơi, rửa trôi và xói mòn. Với tổng diện tích đất sản xuất nông nghiệp năm 2020 (năm cơ sở) là 14.487,4 nghìn ha (trong đó: cây hàng năm: 10.871,1 nghìn ha và cây lâu năm: 3.616,3 nghìn ha).

Theo Đề án phát triển nông nghiệp hữu cơ giai đoạn 2020-2030, phấn đấu đến 2030 đạt 3% diện tích trồng trọt hữu cơ (tương đương 434,6 nghìn ha) sử dụng các loại phân hữu cơ tự nhiên thay thế phân hoá học. Nông nghiệp hữu cơ sẽ giảm trực tiếp được khoảng 118 nghìn tấn CO2tđ và giảm gián tiếp được 259 tấn CO¬2tđ.

Hơn nữa, khi canh tác nông nghiệp hữu cơ, ngoài tác dụng của bón phân hữu cơ thay thế phân hoá học và giảm phát thải KNK còn giúp tăng lưu trữ carbon trong đất theo thời gian với lượng là 1,1 tấn CO2tđ/tấn phân hữu cơ mỗi năm (Mai Văn Trịnh, 2025a), góp phần giảm nhẹ biến đổi khí hậu.

Vai trò của nông nghiệp hữu cơ trong việc tăng cường sức khoẻ đất, giảm phát thải khí nhà kính và giảm nhẹ biến đổi khí hậu
Mô hình mô phỏng lưu trữ carbon trong đất trong 10 năm liên tục với lượng bón 1 tấn C/ha/vụ với phân hữu cơ thông thường (màu xanh) và than sinh học (màu cam). Nguồn: Mai Văn Trịnh (2025)

Vật liệu mới cho nông nghiệp hữu cơ

Tuy không phải là mới về mặt khoa học nhưng với thực tế sản xuất thì than sinh học là 1 loại vật liệu được ví như vàng đen đối với sản xuất nông nghiệp hữu cơ vì than sinh học có pH =9-10, có diện tích bề mặt =700-1000m2/g than, lớn gấp 3-5 lần các vật liệu hữu cơ thông thường, độ rỗng =50-80%, hàm lượng carbon cố định = 95%, giúp cải thiện đất chua, đất nghèo hữu cơ, tăng độ phì đất, tăng khả năng giữ nước và dinh dưỡng, tăng năng suất cây trồng và đặc biệt là tăng khả năng lưu trữ carbon trong đất.

Kết quả tính toán của Mai Văn Trịnh (2025b) cho thấy sau 1 năm bón than sinh học, chỉ 5% lượng C hữu cơ bị phân huỷ còn 95% lượng C cố định sẽ bị phân huỷ rất chậm theo thời gian nhờ sự hoạt động của VSV đất, nhờ đó mà lượng C tích luỹ hàng năm cứ tăng lên và làm đất giàu carbon đất. Đặc biệt lượng C lưu trữ này được tính là tín chỉ carbon, có giá trị rất cao trong thị trường carbon thế giới.

Giá trị của phân hữu cơ và tầm quan trọng của việc bón đủ phân

Cây trồng hút các nghuyên tố dinh dưỡng đa lượng như N, P, K, các nguyên tố trung lượng như Ca, Mg, S, và các nguyên tố vi lượng như Fe, Mn, Zn, Cu, Bo, Mo, Cl. Dù bón phân hữu cơ thì chất hữu cơ cũng phải bị phân huỷ ra thành các nguyên tố như trên cây trồng mới hút được.

Tuy nhiên, giá trị đặc biệt của phân hữu cơ là các chất mùn, cellulo, lignin giúp cải tạo câu trúc đất, carbon làm thức ăn cung cấp năng lượng cho VSV và các acid amin, chất điều hoá sinh trưởng giúp cây sinh trưởng phát triển ổn định, không bị sốc với các điều kiện ngoại cảnh và tăng chất lượng sản phẩm.

Vai trò của nông nghiệp hữu cơ trong việc tăng cường sức khoẻ đất, giảm phát thải khí nhà kính và giảm nhẹ biến đổi khí hậu
Nguồn: Tác giả tổng hợp từ nhiều nguồn.

Vì phân hữu cơ có hàm lượng các chất dinh dưỡng đa lượng nhỏ nên khí bón phân cho cây trồng hữu cơ cần phải lưu ý bón đủ lượng. Ví dụ nếu cây lúa đang canh tác thông thường với mức bón theo khuyến cáo là 100N, 90P2O5 và 60 K2O để đạt được năng suất 6 tấn/ha/vụ. Với mức phân bón của các chất dinh dưỡng này, khi thay thế bằng phân compost với hàm lượng là 0,75%N, 0,4P2O5 và 0,6K2O thì mức bón phân compost để có lượng phân đạm tương đương với mức N của phân khoáng là 13 tấn/ha.

Tuy nhiên, trong thực tế rất nhiều diện tích canh tác hữu cơ đã bón với mức thấp hơn nhiều (thường là 3-5 tấn/ha/vụ). Đương nhiên năng suất của cây trồng sẽ không thể đạt được như canh tác thông thường với mức đạm bón 100N. Và người nông dân luôn đổ lỗi rằng nông nghiệp hữu cơ có năng suất thấp hơn nông nghiệp thông thường. Nếu được đầu tư đúng mức theo nhu cầu của cây như trên thì năng suất của nông nghiệp hữu cơ không những không giảm mà còn cao hơn, chất lượng sản phẩm tốt hơn nhiều so với canh tác thông thường.

Vai trò của nông nghiệp hữu cơ trong việc tăng cường sức khoẻ đất, giảm phát thải khí nhà kính và giảm nhẹ biến đổi khí hậu
Nông nghiệp hữu cơ là xu hướng tất yếu của xã hội trong bối cảnh nông nghiệp thâm canh cao có nhiều rủi ro về chất lượng nông sản, sức khoẻ con người và đảm bảo một hệ thống nông nghiệp bền vững.

Kết luận

Qua tập hợp các kết quả nghiên cứu về những lợi ích của nông nghiệp hữu cơ chúng tôi có 1 số kết luận như sau:

Nông nghiệp hữu cơ là xu hướng tất yếu của xã hội trong bối cảnh nông nghiệp thâm canh cao có nhiều rủi ro về chất lượng nông sản, sức khoẻ con người và đảm bảo một hệ thống nông nghiệp bền vững;

Nông nghiệp hữu cơ giúp tăng cường sức khoẻ đất, giảm phát thải khí nhà kính, tăng khả năng lưu trữ carbon, giảm nhẹ biến đổi khí hậu và có tiềm năng phát triển thị trường carbon trong tương lai, đặc biệt là khi chuyển hoá phụ phẩm cây trồng thành than sinh học bón cho cây trồng vừa tăng nhanh độ phì đất, tăng năng suất cây trồng vừa tạo dược lượng tín chỉ carbon lớn mang lại hiệu quả kinh tế cao;

Cần phải có sự tính toán khoa học về mức bón phân cho cây trồng hữu cơ để đạt được năng suất và chất lượng mong muốn tránh đổ lỗi cho nông nghiệp hữu cơ gây giảm năng suất./.


Tài liệu tham khảo

Himanshu Sahu, Ujjwal Kumar, Sankar Mariappan, Arun Pratap Mishra, Sipu Kumar, 2024, Impact of organic and inorganic farming on soil quality and crop productivity for agricultural fields: A comparative assessment, Environmental Challenges, Volume 15, 100903, ISSN 2667-0100, https://doi.org/10.1016/j.envc.2024.100903. (https://www.sciencedirect.com/science/article/pii/S2667010024000696)

IFOAM, 2022, Organic agriculture and its benefits for climate and biodiversity

IPCC, 2019, 2019 Refinement to the 2006 IPCC Guidelines for National Greenhouse Gas Inventories

Madhu Rani, Preeti Kaushik, Seema Bhayana, Sonia Kapoor, 2023, Impact of organic farming on soil health and nutritional quality of crops, Journal of the Saudi Society of Agricultural Sciences,

Mai Văn Trịnh, 2025a, Báo cáo NDC nông nghiệp về giảm phát thải khí nhà kính đến năm 2035

Mai Văn Trịnh, 2025b, Xác định khả năng cải thiện carbon đất của than sinh học, Kỷ yếu hội thảo khoa học về sức khoẻ đất Viện Thổ nhưỡng Nông hoá năm 2025

Tuck, S. et al, 2014. Land-use intensity and the effects of organic farming on biodiversity: a hierarchical metaanalysis. Journal of Applied Ecology 51, 746-755.

Volume 22, Issue 8, Pages 560-569, ISSN 1658-077X, https://doi.org/10.1016/j.jssas.2023.07.002. (https://www.sciencedirect.com/science/article/pii/S1658077X2300070X)

Bài liên quan

Nông dân linh hoạt chuyển đổi cây trồng, thích ứng biến động thời tiết

Nông dân linh hoạt chuyển đổi cây trồng, thích ứng biến động thời tiết

Trong bối cảnh thời tiết ngày càng cực đoan, đặc biệt là nắng nóng kéo dài và nguy cơ hạn hán, nhiều nông dân tại xã Tài Văn, thành phố Cần Thơ đã chủ động thay đổi phương thức sản xuất.
"Bản giao hưởng" giữa tri thức và khát vọng xanh trên miền đất núi lửa

"Bản giao hưởng" giữa tri thức và khát vọng xanh trên miền đất núi lửa

Giữa bối cảnh nông nghiệp xanh trở thành mệnh lệnh chiến lược toàn cầu, HTX Nông lâm nghiệp hữu cơ Quảng Phú (tỉnh Lâm Đồng) đã tạo nên một hiện tượng kinh tế nông thôn: Biến vùng đất đá núi lửa cằn cỗi thành “thủ phủ” trái cây hữu cơ công nghệ cao. Đây không chỉ là câu chuyện về nghị lực vượt khó, mà là minh chứng cho sự kết hợp hoàn hảo giữa tri thức đại học, công nghệ số và khát vọng chinh phục thị trường quốc tế.
Bộ NNMT làm việc với TP.Huế về các dự án chiến lược phòng, chống ngập lụt

Bộ NNMT làm việc với TP.Huế về các dự án chiến lược phòng, chống ngập lụt

Chiều 10/4, Đoàn công tác của Bộ Nông nghiệp và Môi trường do Thứ trưởng Nguyễn Hoàng Hiệp làm Trưởng đoàn đã có buổi làm việc với UBND thành phố Huế
Trung Quốc chứng minh thành công mô hình trồng lúa mì trên sa mạc sau hai năm thử nghiệm

Trung Quốc chứng minh thành công mô hình trồng lúa mì trên sa mạc sau hai năm thử nghiệm

Sau hai năm triển khai tại rìa sa mạc Taklamakan, Trung Quốc khẳng định mô hình trồng lúa mì trên cát đã hoạt động ổn định, với tỷ lệ cây sống trên 90% và diện tích canh tác hàng trăm hecta. Kết quả này mở ra hướng phát triển nông nghiệp mới tại vùng khô hạn, góp phần tăng an ninh lương thực và kiểm soát sa mạc hóa.
NIFAM góp phần thúc đẩy môi trường thực phẩm sạch tại Hà Nội

NIFAM góp phần thúc đẩy môi trường thực phẩm sạch tại Hà Nội

Không chỉ dừng ở một nghiên cứu liên ngành về dinh dưỡng, NIFAM đang từng bước đưa kiến thức về thực phẩm, dinh dưỡng và tiêu dùng có trách nhiệm đến gần hơn với cư dân đô thị Hà Nội. Thông qua các hoạt động kết nối người tiêu dùng với nông dân, với vùng sản xuất và với những chuyên gia trong lĩnh vực thực phẩm, chương trình góp phần cải thiện môi trường thực phẩm theo hướng minh bạch, an toàn và bền vững.
Chuyển đổi cây trồng thích ứng biến đổi khí hậu

Chuyển đổi cây trồng thích ứng biến đổi khí hậu

Trước diễn biến phức tạp của biến đổi khí hậu, nông dân Đà Nẵng đã chủ động chuyển dịch mạnh mẽ tư duy từ 'chống chịu' sang 'thích ứng'. Bằng việc làm chủ kỹ thuật và nhạy bén với thổ nhưỡng, các mô hình vườn đồi đang tạo chuyển biến rõ nét về năng suất và khẳng định giá trị bền vững.

CÁC TIN BÀI KHÁC

Giải pháp tạo nguồn thực phẩm sạch cho phát triển du lịch

Giải pháp tạo nguồn thực phẩm sạch cho phát triển du lịch

Hiện nay, ẩm thực ngày càng đóng vai trò quan trọng trong việc tạo nên bản sắc của du lịch Việt Nam. Không chỉ dừng lại ở việc thưởng thức món ăn, du khách ngày nay quan tâm nhiều hơn đến nguồn gốc nguyên liệu, quy trình sản xuất và mức độ an toàn của thực phẩm. Do đó cần nhìn nhận rõ vai trò, đánh giá đúng thực trạng nguồn cung thực phẩm sạch để có những giải pháp phát triển phù hợp.
Thuyết di truyền Mendel - Nền tảng của di truyền học hiện đại

Thuyết di truyền Mendel - Nền tảng của di truyền học hiện đại

Thuyết di truyền của Gregor Mendel được xem là nền tảng của di truyền học hiện đại, mở ra một cách hiểu hoàn toàn mới về cách các đặc điểm sinh học được truyền từ thế hệ này sang thế hệ khác. Dù được công bố từ giữa thế kỷ XIX, những phát hiện của Mendel vẫn giữ nguyên giá trị khoa học và được ứng dụng rộng rãi trong nông nghiệp, y học và công nghệ sinh học ngày nay.
Du lịch xanh cần “chuẩn hóa” thực phẩm sạch

Du lịch xanh cần “chuẩn hóa” thực phẩm sạch

Du lịch xanh không thể chỉ được đo bằng cảnh quan trong lành, vật liệu thân thiện với môi trường hay những khẩu hiệu giảm phát thải. Với du khách, “màu xanh” của một điểm đến còn nằm ngay trong bữa ăn hằng ngày - thực phẩm có an toàn hay không, có minh bạch nguồn gốc hay không, có được kiểm soát xuyên suốt từ vùng nguyên liệu đến bàn ăn hay không. Khi khái niệm “thực phẩm sạch” vẫn còn được hiểu theo nhiều cách khác nhau, việc chuẩn hóa từ tiêu chuẩn, chứng nhận đến truy xuất và hậu kiểm đang trở thành yêu cầu cấp thiết để du lịch xanh phát triển đúng nghĩa và bền vững.
Đảm bảo an toàn thực phẩm mùa lễ hội: Đồng bộ nhiều giải pháp

Đảm bảo an toàn thực phẩm mùa lễ hội: Đồng bộ nhiều giải pháp

Mùa lễ hội đầu năm luôn là thời điểm sôi động của đời sống văn hóa - xã hội tại Việt Nam. Từ các lễ hội truyền thống ở làng quê đến những sự kiện văn hóa, du lịch quy mô lớn, hàng triệu người dân và du khách cùng tham gia, kéo theo nhu cầu tiêu dùng thực phẩm tăng mạnh. Tuy nhiên, bên cạnh không khí vui tươi và giá trị văn hóa đặc sắc, vấn đề an toàn thực phẩm trong mùa lễ hội luôn là mối lo thường trực của xã hội. Trong bối cảnh lượng thực phẩm tiêu thụ lớn, hoạt động kinh doanh mang tính thời vụ và điều kiện kiểm soát còn nhiều hạn chế, nguy cơ mất an toàn thực phẩm có thể gia tăng nếu không có những giải pháp quản lý và nâng cao nhận thức kịp thời.
Lúa mì (tiểu mạch) - Nền tảng của văn minh nông nghiệp nhân loại

Lúa mì (tiểu mạch) - Nền tảng của văn minh nông nghiệp nhân loại

Lúa mì, hay còn gọi là tiểu mạch, có tên khoa học là Triticum spp., là một trong những cây lương thực quan trọng nhất của nhân loại. Cùng với lúa gạo và ngô, lúa mì tạo thành “bộ ba” cây trồng nuôi sống phần lớn dân số thế giới. Không chỉ là nguồn cung cấp năng lượng chủ yếu, lúa mì còn gắn liền với lịch sử phát triển của các nền văn minh cổ đại và hiện đại.
Chuyển đổi cơ cấu giống cây trồng, vật nuôi, hướng tới phát triển nông nghiệp bền vững

Chuyển đổi cơ cấu giống cây trồng, vật nuôi, hướng tới phát triển nông nghiệp bền vững

Sáng 07/4, UBND xã Yên Phú, tỉnh Tuyên Quang tổ chức Hội nghị tọa đàm định hướng chuyển đổi cơ cấu giống cây trồng, vật nuôi, hướng tới phát triển nông nghiệp bền vững năm 2026. Tọa đàm không chỉ là dịp để địa phương xác định hướng đi mới cho sản xuất nông nghiệp, mà còn làm rõ thực trạng sản xuất nông, lâm nghiệp, chăn nuôi, thủy sản, chỉ ra những khó khăn, hạn chế và gợi mở các giải pháp phát huy tiềm năng, lợi thế địa phương trong giai đoạn tới.
Ngô, khoai, sắn - “bệ đỡ” thầm lặng của an ninh lương thực Việt Nam

Ngô, khoai, sắn - “bệ đỡ” thầm lặng của an ninh lương thực Việt Nam

Ngô, khoai và sắn là ba loại cây trồng quen thuộc, gắn bó lâu đời với sản xuất nông nghiệp và đời sống người dân Việt Nam. Không chỉ đóng vai trò là nguồn lương thực bổ sung, chúng còn góp phần quan trọng vào đảm bảo an ninh lương thực quốc gia, đặc biệt trong bối cảnh biến đổi khí hậu, gia tăng dân số và những biến động khó lường của thị trường toàn cầu.
Nghị quyết mới của Chính phủ mở hướng phát triển nông nghiệp hữu cơ, tuần hoàn

Nghị quyết mới của Chính phủ mở hướng phát triển nông nghiệp hữu cơ, tuần hoàn

Chính phủ vừa ban hành Nghị quyết số 85/NQ-CP ngày 4/4/2026 về Chương trình hành động thực hiện Kết luận số 219-KL/TW, tiếp tục triển khai Nghị quyết số 19-NQ/TW khóa XIII về nông nghiệp, nông dân, nông thôn đến năm 2030, tầm nhìn đến năm 2045. Đáng chú ý, nghị quyết tiếp tục nhấn mạnh định hướng phát triển nông nghiệp sinh thái, khuyến khích nông nghiệp xanh, hữu cơ, tuần hoàn, gắn với nâng cao giá trị gia tăng, bảo vệ môi trường và cải thiện đời sống người dân nông thôn.
Mô hình trồng rau thủy canh (Hydroponics) - Hướng đi hiệu quả của nông nghiệp công nghệ cao

Mô hình trồng rau thủy canh (Hydroponics) - Hướng đi hiệu quả của nông nghiệp công nghệ cao

Trong bối cảnh đô thị hóa nhanh, quỹ đất nông nghiệp ngày càng thu hẹp và nhu cầu về thực phẩm an toàn ngày càng gia tăng, các mô hình sản xuất nông nghiệp công nghệ cao đang trở thành xu hướng tất yếu. Trong số đó, mô hình trồng rau thủy canh (Hydroponics) được xem là giải pháp tiên tiến, giúp nâng cao năng suất, chất lượng nông sản và sử dụng hiệu quả tài nguyên.
Mạt gà - kẻ thù giấu mặt của nhà nông

Mạt gà - kẻ thù giấu mặt của nhà nông

Trong chăn nuôi gia cầm, người nông dân thường quan tâm đến dịch bệnh lớn như cúm gia cầm, Newcastle hay tụ huyết trùng. Tuy nhiên, có một “kẻ thù” nhỏ bé nhưng vô cùng nguy hiểm, âm thầm gây thiệt hại kéo dài mà không phải ai cũng nhận ra kịp thời - đó chính là mạt gà.
Nghệ An đặt “tam nông” vào vị trí chiến lược lâu dài trong tiến trình phát triển

Nghệ An đặt “tam nông” vào vị trí chiến lược lâu dài trong tiến trình phát triển

Chương trình hành động số 12-CTr/TU của Ban Thường vụ Tỉnh ủy Nghệ An xác định 7 nhóm nhiệm vụ trọng tâm; đặt nông nghiệp, nông dân và nông thôn vào vị trí chiến lược lâu dài trong tiến trình phát triển. “Tam nông” không chỉ là “bệ đỡ” an sinh mà còn là nền tảng đảm bảo kinh tế vĩ mô và tăng trưởng bền vững.
Tầm quan trọng của chăn nuôi hữu cơ trong sản xuất nông nghiệp

Tầm quan trọng của chăn nuôi hữu cơ trong sản xuất nông nghiệp

Trong bối cảnh nông nghiệp toàn cầu đang đối mặt với nhiều thách thức như biến đổi khí hậu, ô nhiễm môi trường và áp lực đảm bảo an toàn thực phẩm, chăn nuôi hữu cơ nổi lên như một hướng đi bền vững và mang tính chiến lược. Không chỉ đơn thuần là một phương thức sản xuất, chăn nuôi hữu cơ còn là giải pháp tổng thể nhằm cân bằng giữa phát triển kinh tế, bảo vệ môi trường và nâng cao chất lượng cuộc sống con người.
XEM THÊM
Based on MasterCMS Ultimate Edition 2025 v2.9
Quay về đầu trang
Giao diện máy tính